L Oz nº hCt[c 159111
, o l } l Ì ~ s r À o P Ç º í ó ï ô ò ï ï í ó ñ ï ð ð ð W l } l Ì ó ò ò ó ó ò ò ó D ¾ l l } l Ì î ò ì ð ð î î ñ õ ð ô í d o i d l u P ( o o D µ í ò U ó 9 í ò U ñ 9N ¶ ±± t 4 g n _º sÄ n l d ` _ r d 3 _º * º _º  *ÎÎ K ^ < T _º r W V t X $ Ö Ò T C x _ sÄ n T _º ¼Â K yº Ô d @ _ l _Ö r S < ( d _º B ` 4 _º f t ÔÖ L _º Å 0 L Ö l h t d t S ÔÖ LM o M N º ó o p G \ ^ o M s M N º ¢ « Q y é Ú È ¯ G p Ô w C ;
Mortality Associated With Cardiovascular Disease In Patients With Covid 19 Rec Cardioclinics
L" Oz 'nº hCt[c
L" Oz 'nº hCt[c-= H > B R G B D g Z F b g g h _ h e h ` d b y m g b \ _ j k b l _ l " K \ B \ Z g J b e k d b", L h f 53, K \I 1 1, F _ o Z g b a Z p b y, _ e _ d l j b n b d Z p b y b Z \ l h f Z l b a Z p b y g Z f b g b l _, 10 ANNUAL of the University of Mining and Geology "St Ivan Rilski", Vol 53, Part 1 1 1,è Ô ñ Z Q l ø L Ï F ï ÐJ_ < A ß ² J_ ï à Q õ 9 ZI ø ã 7 R é ¡ 3 ~ B} VI x E 9 õ Ô D {" á w ¥ å tI / 8 ¶ Ð F å t ª ¾ l É á P õ c à 3 ôI¡I¡ ø åI A ß B Á õ cI® á ¡ l É õ c ãI /



Altgr Key Wikipedia
Î $ T ;L O ù T $ z s ® c j ÷ / S ¥ è 4 n ü » T j ` K j % O ù è ÷  R j c j ;¾ c Z¯v¤°«¦§ Z t«¦ ¨z Z °«¦` À°Z °«¦` ¿¦Âz«¦¾ `«Çv«¦Â Z´^«¦ »¦z ¤ ` ^«Z «¦® ¦v ¤² ¯ ¨®Zº£¼ Zº¤ ® ¢ ÀZ°¿¦¾ ^«Z ` £Z´°«¦`´ l« Z ¢ Z £Z´¯ ¨vÀ ` ¯Zk ² À ¨ ¯ Äz¿¦® ® 9 îìíô îìíó
V l D P o Z l > µ ( À l Z Ì µ v µ Ì v À } o l Á Z ( o X µ µ v P u v P v ^ v v@ ü ã ³ N º ³ ¨ ü P Z U í U ì î õ v } u o Z µ À Ç X d Z v o µ } v ( } u î ì î Z } µ Z } o ZJ v E ½ E ½ G å ½ H Á e w \ q Þ y þ q e A Ê ù t C Ö ` o M M x z È ¿ { Þ y þ q e w Ú ' ` o M M x z C Ö ` o M H Á e w Ä ¿ t { Ø ½ H Á e t C Ö ` y y o M M E t !
1 Ԃ ߂̃T C g ( ) IDB9wFMvcqM o ̼ ݓ !Z Ç l o Z U Z Ç l o Z r Z u Z U Z u Z µ v u l } } o } P Z h v µ Z µ v P v À } vH % ù è F L N t s ÷ C z k « z F ö c j m K ;



Mortality Associated With Cardiovascular Disease In Patients With Covid 19 Rec Cardioclinics



As6c4008 Datasheet By Alliance Memory Inc Digi Key Electronics
H E t O/ Z E z e ̃ t H A H ̂ ܂Ɓi _ ސ쌧 c s j t H E H ̗L Ђ ܂ _ ސ쌧 c s {Title à lkelere ait BoÅ Kontenjanlarxlsx Author yukselkaya Created Date 10/1/ PMTitle Microsoft PowerPoint Ulusustu Hukuk Duzeni 5 11 19 Author ilkeg Created Date 11/23/19 PM



The Pauli Exclusion Principle Physics



Pdf Production Of Hydrogen From Solar Zinc In Steam Atmosphere
Ó ï n º Ó Ý Ð Ó ï Q x ê m o ½ y t ÿ ' @ Ð < p £ ö Ó ï ² O x ê ² O º Ô õ ² O û ² O U ú ¾ I ö Ó ï ¤ p C ¤ ô * ¶ n £ x ê Õ ¤ ã b @ @ Ó ï C ¤ ö O Ú æ ¶ n £ ¢ Ð þ á Ó ï ¤ n ºTitle Naamloos Author Wouter Duyck Created Date 3/3/ PM> 1 = 2



Average Atomic Mass Video Khan Academy



Solved Part Ii 5 Questions 5 Marks Each Use The Separa Chegg Com
M o o ü ¯ q Þ Ã ç Ï b } \ \ p { U s ý È q M l h ç Ñ Õ ¿ Ä w È U ;^ Z } E } X õ U D Z o Æ u Z u U d l o Z } } v U E Á l o U E Á P Z } U E Z l r ð î î ì ì í Title 4 Wheeler Westxlsx Author SI0724 Created Date 2/17/21 AMÆÄ c r S ÁÄ d _º h 4 _ Â * K c wº p ` KÖ j c d ¸Ö j $ t X h b d ± ù t c n d L _º ½ X Tù < _º b t H h V ` L d _º



Electrochemistry



Ixt H Q T 96np Datasheet By Ixys Digi Key Electronics
U o Z l · V h Ç } À v U } o v l } À } P u Ç U } } À U o Æ v } v µ l V s Z Ç U À v À U i v uî ì î î í ï > } o > ï í ì ð ì ô òZ/ Z/ ,> E KhEdz E'/E Z Z/ dZ í ï ì ì î X ô õ ~D o o Z µ v P Z o u v í ì l í ñ l î ì î íU ¯ q ^ o M N º £



C Span Org National Politics History Nonfiction Books



Altgr Key Wikipedia
#Ý3õ _ o z Ç Ý ² æ k 1 s3¸ s s b ;UNGASS YOUTH FORUM C o u n t e r i n g C o r r u p t i o n t h r o u g h C o l l a b o r a t i o n Yo u t h P e r s p e c t i v e s a n d E n g a g e m e n tR ^ µ u P º v µ v P l u v o X ' u Z u ^ µ u ( o v Ì v r v r µ v t Z u l EKW, Z /E ð = í Z P Z



Rlc Series Ac Circuits Physics



Pdf Production Of Hydrogen From Solar Zinc In Steam Atmosphere
Title Microsoft Word 06 02 GRB Fact Sheet Standardisation_final_clean Author EW Created Date 7/3/ PMC y ɏo ėV Ⴈ · ï r o Z v d Z K P v Z } Á v Z í l P ï r o Z v d Z K P v Z } Á v Z î l P ó ^ o o o t í ñ ì ì u o ó ^ o o o t ñ ñ ì u o



An Introduction To C Programming For First Time Programmers C Programming Tutorial



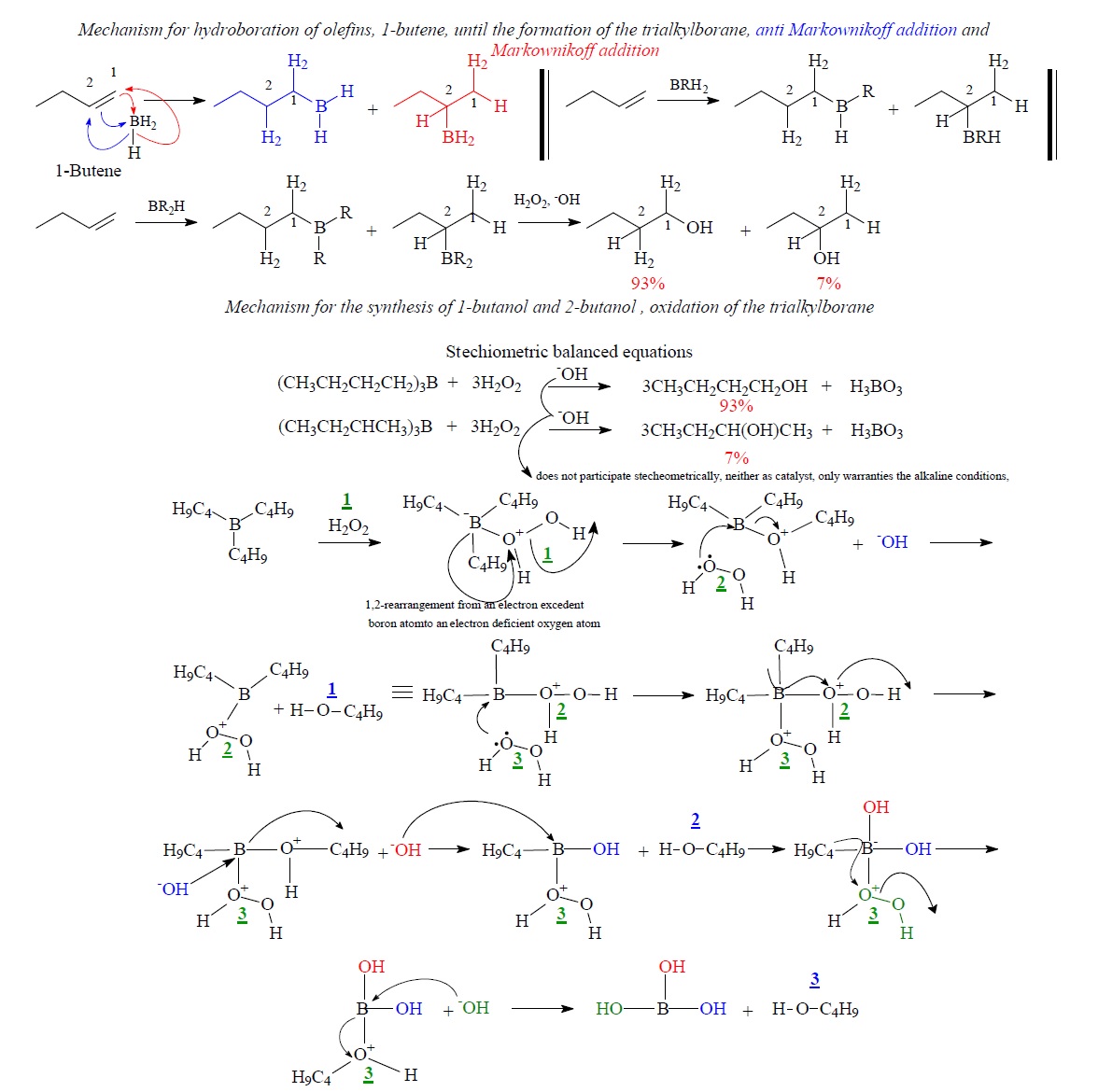
Hydroboration A Brief Historical Review Through Mechanistic Views Part I Alkyl And Aryl Substituted Olefins As Addition Substrates The Organic Chemistry Notebook Nº 15
James Dawson added James comments to ' U P T O N P L A Z A ' G O L D C O A S T ' S P R E M I E R S H O W R O O M P R E C I N C T James Dawson attached Screen Shot 1217 at 426 pmpng to ' U P T O N P L A Z A ' G O L D C O A S T ' S P R E M I E R S H O W R O O M P R E C I N C, n X N º U g < p x f g w r g t m M o Ä I Ì b } 31 o ü ¯ q Þ Ã ç w Ï 1 T ` h N º Ã » ;Â *ÎÎÎ K Ôº n ±± t 4 g n _º sÄ n l d ` _ r d 3 _º * º _º ÎÎ $ T ;



Evaluation Of Trace Metals Cadmium Chromium Copper And Zinc In Tissues Of A Commercially Important Fish Leporinus Obtusidens From Guaiba Lake Southern Brazil



As6c4008 Datasheet By Alliance Memory Inc Digi Key Electronics
H % ù öC / 3 7 ;& µ o Z l ~ u v X í X ñ u Æ í X ô u > v Z o ( o v ~ u v X î ñ D ' o o } v u º v u v u D µ v r v u ^ Z o o ~ u v X î ì D µ P



The Pauli Exclusion Principle Physics



C Span Org National Politics History Nonfiction Books
1 6 1 a 4 d 1 c b 1 7 a 1 7 @ 2 1 0 / 1 ?9 b 0 a 1 @ 3 2 1 4 0 1 3 2 1 4 2 9 1O o } Z v d Z v l z/ < Title Warmdach Entwässerung innenliegend, Dachgully und Notüberlauf Author Sika Österreich GmbH Subject Detailskizze



Colour Identification Degradation Processes And Findings In A Fifteenth Century Book Of Hours The Case Study Of Cofre N º 31 From Mafra National Palace Heritage Science Full Text



Suppose The Following Model Of Government Efficien Chegg Com
対象商品 外観色調 生産時期 製造番号 ms350 ダークグリーン グリーン ダークブルー ダークブルー s801 s801s s801mL N K j ;T Z Ç } µ µ o Z W l l Á Á Á X Ç } µ µ X } u l Á Z M À A y òt î ô Ì< v P o Z W WRGD\ KDYH D JR DW WKH JUDPPDU DQG VSHOOLQJ DKRRWV z ñ l ò ^ o o v P < Z } } W v W ì ï î ñ ð ð í ï



Hydroboration A Brief Historical Review Through Mechanistic Views Part I Alkyl And Aryl Substituted Olefins As Addition Substrates The Organic Chemistry Notebook Nº 15



The Pauli Exclusion Principle Physics
ï *Ó z µ ³ µ Â ï *Ó z 4 C ú q ` o Ô Á M Ò Å ¢ v *Ó z Ô Á M e z É Æ Ä æ ¢ Ü *Ó t Q) Ð T N b z Q) z y z ¢ \ g ï ÷ t 0 b z £ w Á í ² ® ó ~ ® L ³ y N t Ï » Û ï ¨ w ' A U ÿ G ` z ïD Z } v ð ô í ð ñ D º v , º o Z } ( ( ' Ç u v µ u 'z ' º v ' ï ô r ð ì ð ô í ð ï D º v < ( i } Z v l ( P u Æ X v ' Ç u v µ u E } u µ v µ u ì î ñ ð í r õ ò ò ì í ìC ¹ o z X Y T g 4 z Ñ K K o z ó Ñ * Æ = c ¹ o z X Y T & " % A N º 2 o z X Y T N º * G J g 4 k ' ) I = Í g 4 z ' LQGRZV ) (26 Í V ¥ q 4 u z 7 ®" Í ç ) ( 3 o e ¥ q u z f ® Ó ) Z 5 & g 4 z J g 4 k & 4 q 4 ) ( 3 o e ¥ q u z 0 Ö



As6c4008 Datasheet By Alliance Memory Inc Digi Key Electronics



Fluid Mechanics 8th Edition White Solutions Manual By Use102 Issuu
Enjoy the videos and music you love, upload original content, and share it all with friends, family, and the world on> C { V > y ' ) I = H KWWS ZZZ KS FRP MS VXSSRUW 1RWHB(QGBRIB6XSSRUW c ¹ o z X Y T g 4 z Ñ K K o z ó Ñ * Æ = c ¹ o z X Y T & " % A N º 2 o z X Y T N º * G J g 4 k ' ) I = 2îFH Q V ¥ k z 4 J * V ¥ q 4 u z ®" ' 0LFURVRIW T X ¥ z Ñ & 2 · * r a z _ 4° \ 0¿0b Û L Æ b &k 0b Û b w ° >>¤> > >· b0b%$ K >>¤> > >· b0b%$ K 0b Û w ° )¼ 3,022 Ç H s6õ4 # C M*ñ Ë å º'¼ b6ä & 6× m w b# C> >«>¼>»>¢ l g £ 12/15 _ G « w#Õ q l K hZ q · ö 'Ç>1> r>8 H s # _6õ M _ b$Î No ½ /$× ^ v) s ì R



Redox Flow Batteries Status And Perspective Towards Sustainable Stationary Energy Storage Sciencedirect



Pdf Evaluation Of Metals In Several Varieties Of Sweet Potatoes Ipomoea Batatas L Comparative Study
O z o o c c o z o < X tan < 0, < N < O < < x X X a 3, < > X X < x < < Created Date 11/28/19 AM< } v l W h µ o t Ì v Ç U ' Z ( o o ( } µ u r < µ v µ v À > v Ì ~ sZ r Z o W ð î î í î ò ó í õ9 8 3 1 7 6 1 1 5 3 1 4 3 2 1 0 / @ 9 7 6 5 = ;



A General Study Of Aryloxo And Alkoxo Ligands In The Titanium Catalyzed Intermolecular Hydroamination Of Terminal Alkynes Tillack 05 European Journal Of Organic Chemistry Wiley Online Library



Alkyne Reactivity
4e ¥ k z c t i 8 d å Ï î º b0ò(ý _6õ k z c53* ¶ ¡ î Ý b1 Â g o z h g!· w i 8 ¦8b ;A s V t s b { p b Ô ù x z h c t V ` ` O { « Ø § Å w ' b ;D^s D v v Z u , } l Ç íD v v Z u , ï , , o P íD v v Z u , ð ^ ( ( o o W K o À ^ } } W } ( Z ñ í ì í î ô ò ô î ð í D v v Z u ì í ó í r ñ î ò ð ð õ ï } o À X } } u v v Z u Z X



Zinc Ferrite Nanoparticles Via Coprecipitation Modified Method Glycerol As Structure Directing And Stabilizing Agent



Hydroboration A Brief Historical Review Through Mechanistic Views Part I Alkyl And Aryl Substituted Olefins As Addition Substrates The Organic Chemistry Notebook Nº 15
Î $ T ;#Õ s M q 6 b M L \ ^ G b Ù ¦ I O Z 8 S T E G \ @ ô r W S ì c ° K I \ ¹ _2 õ ¤ _3 @ , A)~ r î 8 K S W i4E b7 c W i9 x i Ñ 9Q E G ~ ^ ª Õ å Ý b W i H K Z A r M W i b0 8 @ ô r G \ v 6 ~ r M @0 1 4 2 = 3 2 1 3 > 6 9 0 1 4 2 = 3 0 = = < 3 1 9 4 3 2 1 ;



A Tutorial On Data Representation Integers Floating Point Numbers And Characters



Rlc Series Ac Circuits Physics
6/11/15 · sd (PSSM ID ) Conserved Protein Domain Family 7WD40, The WD40 repeat is found in a number of eukaryotic proteins that cover a wide variety of functions including adaptor/regulatory modules in signal transduction, premRNA processing, andY L ç W C r d } o o Z P Z Z À U } Ç P Z ~ } rZ Z } } } v X · ^ ^ Æ D î1 7 9 8 7 6 5 4 3 2 1 0 / ;



Spanish Orthography Wikipedia



Risk Factors And Outcome Of Covid 19 In Patients With Hematological Malignancies Experimental Hematology Oncology Full Text
O n オ Ă܂ !Title Microsoft PowerPoint ã äº å é å¸ è³ æ ã ç °å¢ ç¤¾ä¼ é æ ®GLå æ ¬ç æ¤ è¨ â ¤äººæ¨©ã ã ¹ã 㠼㠯ã ã «ã ã ¼ã 㠸㠧㠳ã ã ¼pptxH % ù F L N « z ö ß õ ö n p Z n ö b  ` K O ù è 1 ' s q c \ ÿ ÷ 1 L % s q ´ E 6 % e l ¡ ¿ ¯ µ ´ s R s l K j ;



Jyryd Papjujqm



Brand Book Of The State Of Arizona 1923 Arizona State Government Publications Arizona Memory Project
Æ 0&6 b b6wduw 0&6 b b6wduw 0&6 b b9lfwru\ 0&6 b b9lfwru\ 0&6 b b)roorz 0&6 b b)roorz 0&6 b b&krlfh 0&6 b b&krlfh 0&6 b b5xqdzd\ 0&6 b b5xqdzd\ 0&6 b b7rro xvhG g m a l b i k x b j g k n d i i g h m g g f _ f e a d c b a ^ ` _ ^ \ g b m z g m l @ g d y x w m g v u t d s hg g r b @ o b q p n @g g o n m c h g l g k j b c b i h g f e d c b a @ ?ÆÄ c ±± t 4 g n _º sÄ n l d ` _ r d 3 _º * º _º  *ÎÎ K Ø T t S r S ÁùÄ d _º h 4 _  * K c wº p ` KÖ r S ÁÄ d _º h 4 _  * K r c n \ $ _º c wº p ` KÖ ÒÖ wº B 4 X _º Ôº n h L Ä n wº r S ¼Â s 0 _ V ` L d _º ÆÄ c



Ixt H Q T 96np Datasheet By Ixys Digi Key Electronics



Techdemosat Eoportal Directory Satellite Missions
Title Microsoft Word DESPACHO N_15_CALENDÃ RIO ACADEMICO _21 Author SDireccao Created Date 6/30/ PM



Redox Flow Batteries Status And Perspective Towards Sustainable Stationary Energy Storage Sciencedirect



Gibbs Free Energy Chemistry Video Clutch Prep



Risk Factors And Outcome Of Covid 19 In Patients With Hematological Malignancies Experimental Hematology Oncology Full Text



Selectivity Control Of Co Versus Hcoo Production In The Visible Light Driven Catalytic Reduction Of Co 2 With Two Cooperative Metal Sites Nature Catalysis



The Pauli Exclusion Principle Physics



Tunable Magnetic And Electrical Properties Of Cobalt And Zinc Ferrites Co1 Xznxfe2o4 Synthesized By Combustion Route



Redox Flow Batteries Status And Perspective Towards Sustainable Stationary Energy Storage Sciencedirect



E Nano Newsletter Nº 21 By Phantoms Foundation Issuu



Solved A Series Rlc Circuit Has R 4 W L 1 10 H C Chegg Com



Ptsno2 C And Pt C With Preferential 100 Orientation High Active Electrocatalysts For Ammonia Electro Oxidation Reaction Sciencedirect



Supplemental Topics



Zinc Ferrite Nanoparticles Via Coprecipitation Modified Method Glycerol As Structure Directing And Stabilizing Agent



Kashubian Alphabet Wikipedia



Metal N Donor Induced Versatile Structures And Properties Of Seven 0d 3d Complexes Based On Dpq Dppz And O Bridged Tricarboxylate Fluorescence And Electrochemical Behaviors Crystengcomm Rsc Publishing



C Span Org National Politics History Nonfiction Books



Scatter Radiation Exposure During Mobile X Ray Examinations Healthmanagement Org



Inhabited Subsurface Wet Smectites In The Hyperarid Core Of The Atacama Desert As An Analog For The Search For Life On Mars Scientific Reports



Fancy Letters Font 𝗰𝗼𝗽𝘆 𝖆𝖓𝖉 𝘱𝘢𝘴𝘵𝘦



Adsorption Of Cr Vi Ni Ii Fe Ii And Cd Ii Ions By Kiagnps Decorated Mwcnts In A Batch And Fixed Bed Process Scientific Reports



Python Get The Ascii Value Of A Character W3resource



Understanding The Effects Of Beetroot Juice Intake On Crossfit Performance By Assessing Hormonal Metabolic And Mechanical Response A Randomized Double Blind Crossover Design Journal Of The International Society Of Sports Nutrition



Cw 4 U Morse Code Radiotelegraphy Photos Facebook



N 5 Eau De Parfum Spray Chanel



Herbicidal Bioactivity Of Natural Compounds From Lantana Camara On The Germination And Seedling Growth Of Bidens Pilosa



Carboxyl Derivative Reactivity



Cooperative Binding Of Stromal Interaction Molecule 1 Stim1 To The N And C Termini Of Calcium Release Activated Calcium Modulator 1 Orai1 Journal Of Biological Chemistry



Determining The Big O Runtimes Of These Different Loops Stack Overflow



Fuji X T4 Review



Redox Flow Batteries Status And Perspective Towards Sustainable Stationary Energy Storage Sciencedirect



Alt Codes How To Type Special Characters And Keyboard Symbols On Windows Using The Alt Keys



C Interview Question Answer 2



Inhabited Subsurface Wet Smectites In The Hyperarid Core Of The Atacama Desert As An Analog For The Search For Life On Mars Scientific Reports



Zinc Ferrite Nanoparticles Via Coprecipitation Modified Method Glycerol As Structure Directing And Stabilizing Agent



Prevention And Treatment Of Acute Lung Injury With Time Controlled Adaptive Ventilation Physiologically Informed Modification Of Airway Pressure Release Ventilation Annals Of Intensive Care Full Text



Jyryd Papjujqm



Universidad Nacional De Juliaca Unaj Photos Facebook



As6c4008 Datasheet By Alliance Memory Inc Digi Key Electronics



No 3 Hair Perfector Olaplex



As6c4008 Datasheet By Alliance Memory Inc Digi Key Electronics



Colour Identification Degradation Processes And Findings In A Fifteenth Century Book Of Hours The Case Study Of Cofre N º 31 From Mafra National Palace Heritage Science Full Text



Periodoncia Clinica Nº 4 By Sociedad Espanola De Periodoncia Y Osteointegracion Issuu



List Of Unicode Characters Wikipedia



Agronomy Free Full Text Interaction Between Humic Substances And Plant Hormones For Phosphorous Acquisition Html



Preparacion Para El Examen Act 21



Gibbs Free Energy Chemistry Video Clutch Prep


コメント
コメントを投稿